The Effects of Aid on Political Outcomes: A Review
By Joseph Richardson @ 2025-03-01T18:43 (+17)
Notes: This document has been sitting around untouched for a significant amount of time and was part of the research that I conducted for SoGive. Seeing that there was a draft amnesty week nudged me into posting it. My opinions on some of the research cited may have changed somewhat in the meantime, but I stand by the idea that foreign aid does not obviously have negative effects on political outcomes. I would also support the idea that any realistic negative political effect of a well-run aid program cannot be close to the first order benefits of an effective program. I thank Sanjay Joshi, Isobel Phillips, Berke Celik, and Spencer Ericson for providing useful feedback and suggestions on this research.
Executive Summary
Some critics argue that foreign aid (including development interventions recommended by SoGive, GiveWell, and effective altruist analysts) could backfire through negative effects on political outcomes by reducing opposition to bad governments, or by fueling corruption and conflict. The likely mechanisms for this include that improved material conditions could increase support for incumbent governments, increasing their likelihood of remaining in power at any given level of corruption, and that any influx of resources could create incentives to appropriate them through corruption and conflict. However, it is also possible that aid could have the opposite effect, as increased wealth could provide citizens with greater political independence and through improving their quality of life make it more costly for them to join a conflict.
To assess these claims, we review the relevant academic literature on how aid could affect political outcomes, with democracy and conflict being the most widely studied ones, and then attempt to quantify their cost-effectiveness through a back of the envelope calculation. We find:
- There is some support for the idea that income increases from short term aid increases support for incumbent governments (e.g., Briggs 2015) and that short term income shocks may impede democratisation (e.g., Arezki and Brückner 2014). However, reasonable evidence on the effects of income increases on democratisation in the long run, such as Acemoglu et al 2008, tend to be more positive and not find such effects. Therefore, it is not clear that negative effects will prevail through this mechanism.
- Politicians sometimes successfully claim credit for aid interventions, even if they had no absolutely no influence (Cruz and Schneider, 2016), potentially undermining accountability mechanisms. Some projects have managed to avoid this pitfall when the aid is targeted to individuals and its source is clear and this includes a RCT run by GiveDirectly (Guiteras and Mobarak 2015; Orkin and Walker 2022).
- Aid may impede transitions towards democracy when it is easily appropriated by autocratic governments (Bermeo 2016). This can likely be mitigated by good program design that ensures the aid reaches its intended targets.
- Positive income shocks can provide freedom from clientelist political relationships, such as vote buying (e.g., Frey 2019, Fajury 2022). Two RCTs have measured the effects of aid projects on clientelism, with one providing strong support for this hypothesis (Bobonis et al 2022) and one being more mixed (Orkin and Walker 2022).
- Existing evidence contains little support for the hypothesis that aid interventions similar to those funded by NGOs undermines trust in local institutions (e.g., Dietrich and Winters 2015; Knutsen and Kotsadam 2020).
- We can only identify two cross-country studies of aid’s impact on conflict that potentially identify causal effects (de Ree and Nillesen, 2009; Bluhm et al, 2021), but their estimated effects of aid on ongoing conflicts lie in opposite directions. However, they agree that conflict is unlikely to be sensitive to aid flows in countries without any ongoing conflicts. We also find some evidence from single country studies that aid projects may increase violence from non-state militias concerned that they may reduce support for their cause (Crost et al, 2016; Weintraub, 2016; Khanna and Zimmermann, 2017), but these effects may be isolated to government-run projects in active conflict zones. Furthermore, the weakening of these groups may also promote growth and reduce violence in the long run (Singhal et al, 2016; Dasgupta et al, 2017).
- Therefore, we also investigate factors other than aid that affect incomes and the level of resources locally in ways that may be analogous to some types of aid, primarily focusing on shocks to global commodity prices. Blair et al (2021)’s meta-analysis of these studies shows that increases in commodity prices tend to decrease conflict when the resource is non-lootable, likely through income effects. However, they can increase conflict when the resource is something like oil, which is lootable. This suggests that aid delivered with the proper precautions against misappropriation may have a pacifying effect on conflict.
- Finally, we conduct back of the envelope calculations to estimate how large any political effects of a highly effective aid intervention, such as GiveDirectly’s work, would have to be for them to be relevant to cost-benefit analysis. Under reasonable assumptions, we find that the welfare impacts from second-order political impacts are most likely a rounding error relative to the first-order benefits of the aid.
From this evidence, we conclude that second-order political effects of aid should only play a minor role in aid allocation decisions for two major reasons. First, it is highly uncertain whether the second-order political effects of any aid will be positive or negative and the only obvious safeguarding factors, preventing misappropriation and interference, are already features of effective program design. And second, regardless of the direction of any effects, they are likely very small relative to the direct impacts of any highly effective aid intervention.
1.) Introduction
A common criticism of Effective Altruist-style aid interventions is that they could have negative second-order political effects. Many economists argue that differences in political institutions have large effects on economic growth (Acemoglu et al 2005; Acemoglu and Robinson 2012), so sizable political effects could attenuate or negate the beneficial effects of aid. Furthermore, any impacts from political changes that are not isolated to the treatment group will not be detected in RCTs or quasi-experimental studies, making them an incomplete indicator of an intervention’s welfare effects. Aid could potentially degrade political institutions by propping up repressive regimes, undermining trust in the government’s capacity to provide basic services, and increasing the returns to corruption. Critiques, such as Deaton’s (2015b), argue this could happen because governments will face reduced pressure to provide for their citizens when NGOs meet their basic needs, allowing them to appropriate more resources through corruption. If so, this could help explain why some studies fail to detect a positive effect of development aid on economic growth (Roodman 2015; Langlotz and Dreher 2020), although there is not a consensus on this topic (Clemens et al 2012; Dreher et al 2021). However, there are also positive countervailing mechanisms that could attenuate or dominate any negative effects on political outcomes, with improved economic conditions enabling impoverished individuals to free themselves from patronage relationships with politicians and giving them the time and resources to participate in politics. These countervailing mechanisms turn the direction of any effects into an empirical question that cannot be resolved by reasoning alone.
In this post, we review the academic evidence relating to how popular NGO-led aid interventions are likely to influence political institutions, decision-making, and trust in government. This is done to identify the channels through which aid could affect political outcomes and how strong these effects are. Then, we can assess how likely a specific intervention(especially the ones promoted by Effective Altruism) is to have effects through these channels. We also assess how aid could affect conflict. Conflict has direct and indirect economic costs (e.g., Abadie and Gardeazabal 2003), but the direction of aid’s effect on conflict is theoretically unclear. On one hand, wellbeing improvements may increase the opportunity cost of conflict. On the other hand, misappropriated aid could be used to fund conflict. Finally, we review estimates from the academic literature of the effects of improved political institutions on economic growth. This is to assess what political effect sizes would matter for the cost-effectiveness of a program like GiveDirectly’s, and whether these effects are likely in practice.
We do not believe that the existing evidence supports concluding that aid has a strong and uniform effect on politics and conflict in either direction. However, there may still be some meaningful variation in effects between projects, we conclude that the true effects are likely too small to materially affect most aid decisions. For example, we believe some projects are more likely to have positive effects: there are indications that aid has less potential to prop up bad governments when incumbent politicians clearly have nothing to do with its provision (Guiteras and Mobarak 2015; Orkin and Walker 2022), and the risk of conflict is likely lower when income increases are harder for external actors to appropriate (Blair et al 2021). These differences seem particularly favourable for many effective altruism-recommended interventions that seem harder to appropriate effectively, such as vaccines and bed nets, while GiveDirectly takes special care to prevent appropriation (GiveWell, 2020). Furthermore, we have direct evidence from an RCT that GiveDirectly’s work is not perceived as closely linked to local politicians’ actions and does not have significant negative effects on political outcomes. We also argue that any effects would have to be very large to meaningfully move cost-effectiveness analyses because interventions frequently vary by an order of magnitude or more (MacAskill 2015). This means that any second-order effects have to be nearly as great as the main effect to shift a project’s position in any cost-effectiveness rankings.
2.) Propping up Bad Governments
One way aid interventions could have negative political effects is by to propping up bad governments. This could occur if improvements in living or economic conditions increase support for an incumbent government, potentially solidifying autocracies and reducing the need for governments to be responsive to public priorities in order to maintain power.
It’s plausible that aid might prop up incumbents, as many economic shocks out of a government’s control have affected elections, including droughts (Achen and Bartels 2004), oil prices (Wolfers 2002), and global economic conditions (Leigh 2009). Moreover, aid fluctuations in the year prior to African elections are associated with changes in government support (Briggs 2015).
Although aid’s effects on voting could negatively affect institutions by propping up bad governments, it may also prevent good ones from losing power. Therefore, the relevant question would be whether these changes net out to have a positive or negative effect on political outcomes. The most studied political outcome that can proxy for political outcomes is the level of democracy in a country. Note that for the purpose of this section, we have imagined a democratic government as being less likely to be a “bad” government. We appreciate that this is not a universally held view, but we think that it is roughly correct because .
In terms of short-term economic fluctuations, Burke and Leigh (2009) find that weather shocks with a negative effect on economic growth increased the probability of an autocracy transitioning towards democracy, but not vice versa. A natural concern here is that weather could affect political change through mechanisms other than income, such as protests. However, unlike many other studies using weather instrumental variables, Burke and Leigh (2009) attempts to address this by showing that the direct effect of weather on conflict is bigger in countries where agriculture is a larger share of the economy i.e., where it will have the largest effect on incomes. Similarly, Brückner and Ciccone (2011) demonstrates that rainfall shocks negatively affect democratisation, but only in the most agricultural societies, where the income effects are largest. Meanwhile, Arezki and Brückner (2014) show that increases in global food prices are associated with positive institutional changes for net importers, for whom this is a negative shock, and are conversely associated with negative institutional changes for net exporters. All of this evidence points towards short-term negative economic shocks likely aiding democratisation. Although this appears to support the aid sceptics’ view that improving conditions is likely to lead to worse political outcomes, the correct interpretation may sometimes be more subtle, as any short term consumption effects from aid could reverse if we expect the aid to be removed in future. Whether these effects will cancel out will depend on whether the relationship between changes in democracy and income is approximately linear. If it is not, there could be implications for some interventions such as disaster relief.
Although this work suggests that positive income shocks could degrade institutions, it only identifies the effects of short-term variation, which might be different to the effects of long-term development.. Although we caution that achieving causality in country-level regressions is notoriously difficult (Rodrik 2012), papers taking reasonable approaches to this question normally find a neutral or positive effect of income on democratisation (Broderstad 2018).. Specifically, this means papers that estimate the effect of changes in income on future democratisation to address problems arising from time-invariant differences between countries. Examples of such studies include Acemoglu et al (2008) and Heid et al (2012), which also employ instrumental variables to isolate variation in income that are potentially less likely to be correlated with unobserved confounders. Therefore, the evidence we have suggests positive effects on long-term development are unlikely to negatively affect the democratisation process, although we would caution against interpreting these results too strongly, especially as the mechanisms behind any positive effects are murky.
Although aid may affect the survival of good and bad governments, these effects may also vary by the characteristics of the aid project, such as if the government is able to claim credit, influence its distribution, or appropriate it for themselves. As several papers using arbitrary differences in access to government-provided cash transfers find that these transfers build support for incumbents (Manacorda, Miguel, and Vigorito 2011; Pop-Eleches and Pop-Eleches 2012), this a potentially serious concern. This seems particularly applicable to aid programs run where government decisions could affect the distribution of aid funds, or where the public perceives that to be the case. Evidence consistent with this includes: the Ghanaian government targeting World Bank funded electrification efforts towards their supporters, increasing their vote share (Briggs 2012)); and World Bank aid increasing support for incumbents in Africa (Knutsen and Kotsadam 2020). Furthermore, politicians appearing responsible for randomly assigned World Bank aid can lead incumbents to successfully claim credit (Cruz and Schneider 2016).
However, there is also evidence that aid can avoid problems of credit-claiming if it is clear that governments are not involved. For example, when sanitation aid from an NGO was transparently distributed via lottery in Bangladesh, recipients did not significantly change their views on local politicians; but credit was successfully claimed governments did claim credit when the allocation mechanism was opaque to the beneficiaries (Guiteras and Mobarak 2015). Meanwhile, a forthcoming RCT on GiveDirectly’s unconditional cash transfer operations in Kenya shows little credit- claiming and few effects on support for the incumbent (Orkin and Walker 2022). It may also be relevant that these projects were delivered directly to households by an impartial NGO, unlike the project delivered to the general community studied in Cruz and Schneider (2016).
Besides credit claiming, there is also some evidence that the effect may vary by whether it can be easily appropriated. For example, Bermeo (2016) finds that the negative relationship between aid and future democratisation disappears after the Cold War, except for the US’s closest military allies. Bermeo argues this suggests that autocrats being given governmental aid for geo-political (rather than developmental) reasons can stunt democracy, but aid distributed for non-political purposes may not, because there will be stricter controls against misappropriation.
In sum, the direction of aid’s effects through an income channel appears highly dependent on circumstances, as short term fluctuations likely does promote bad governance, but may be counteracted by any decreases when a program is removed. Meanwhile, any intervention with permanent benefits may even have some positive effects. Additionally, good program design that reduces opportunistic credit claiming and appropriation seems like it could alleviate some negative effects.
3.) Clientelism and Political Participation
A common mechanism through which aid could improve political outcomes is by giving beneficiaries economic freedom, enabling them to exercise political freedom by freeing themselves from clientelist relationships. Clientelist relationships are pervasive across many developing countries (e.g., Anderson et al 2015; Cruz et al 2017) and involve individuals selling their votes and political support, often only implicitly, in return for services from politicians. These transactions are effective in securing votes even when secret ballots ensure there is no penalty for recipients reneging on their side of the bargain, possibly due to not realising this or feeling a sense of obligation. Otherwise, randomised field experiments educating the public about vote buying would not undermine the vote shares of clientelist politicians in randomised field experiments (Vicente 2014; Hicken et al 2015; Blattman et al 2019; Schechter and Vasudevan 2023).
With greater economic security, the private goods and services offered by politicians should become less valuable to citizens, allowing them to vote and engage in political activity more freely without worrying about upsetting patrons. Indeed, individuals that quasi-randomly received cash transfers in Columbia were less likely to engage in vote selling (Fajury 2022). Therefore, positive income shocks to the poor might not always increase support for incumbent governments if those governments were engaging in clientelist practices (which is likely, as incumbents have more resources to buy support).
In fact, a growing body of evidence suggests that positive income shocks can increase political freedoms, with weakening clientelism being the most plausible mechanism. Strong evidence for this comes from Brazil with Bobonis et al (2022) showing in an RCT that households receiving water cisterns in rural Brazil were 17 percent less likely to report making a request for private goods from a politician. Crucially, the number of visits from politicians did not differ between the treatment and control groups, suggesting that the intervention’s effects did not come through politicians redirecting their efforts towards untreated households. There were also some (statistically insignificant) weak indications that the cistern treatment may have reduced support for politicians better able to deal out private goods for votes, in this case the incumbents. Although this result is not strong enough to claim a decrease in incumbent support, the 95% confidence intervals rule out any meaningful increase. Another plausibly exogenous income shock, differences in rainfall, had similar effects on private and public good demands from politicians as the cisterns treatment – this further supports the interpretation that the income shock of the cistern treatment reduced the demand for clientelist relationships.
Although Bobonis et al (2022) establishes that poverty reduction may reduce clientelism in Brazil, the study still has some gaps. Specifically, much of the data relies on self-reports of potentially sensitive activity, the analysis of voting behaviour using an objective outcome is underpowered, and it does not establish whether changes in clientelism cause economically meaningful changes in politicians’ resource and effort allocations. Frey (2019) addresses these issues in a regression discontinuity study exploiting sharp cut-offs from poverty and population thresholds in Brazilian municipalities’ eligibility for additional direct cash transfers from Bolsa Familia to identify the effects of income shocks to the poor on local clientelism. Consistent with the clientelism hypothesis, a one percentage point increase in cash transfer coverage due to municipalities meeting the cut-offs had large effects of a 0.8 percentage point decrease in incumbent vote share and 0.4 percentage point increase in the share of the municipality’s budget allocated to the ‘pro-poor’ public goods of health and education. At first, the vote share result seems suspiciously large which may reflect a lack of statistical power but could instead be explainable by the cash transfers also increasing the number of challengers they face. Furthermore, as the result is highly statistically significant (p<0.01), the true effect size is likely still practically significant even if the point estimate is exaggerated. Additionally, these results are unlikely to be confounded by any omitted variable bias or changes in support for politicians from parties responsible for Bolsa Familia, as the outcomes of interest were not related to whether municipalities met the cut-off prior to the program’s introduction and any observed effects on specific parties fell along the lines of whether a party frequently engages in clientelist practices rather than support/opposition for the national governing coalition.
Frey (2019) is also not an isolated result, with the vote share of municipal incumbents decreasing in Mexican precincts (sub-units of municipalities) when property rights are assigned to local squatters by the federal government (Larreguy et al 2015). As these transfers are uncorrelated with political affiliation at the municipal level and show little correlation with pre-existing trends in incumbent vote-shares, the relationship is likely causal. The most compelling explanation for this result is that the property rights freed the squatters from clientelist dependencies on incumbents for two reasons as squatters often hold unofficial contracts with incumbents (Diaz 2008) and are not legally entitled to public services, making their livelihoods dependent on the incumbents’ patronage.
Evidence of positive income shocks potentially increasing political freedoms also exists outside of Latin America in the African nations that receive a greater share of aid. For example, Blattman et al (2018) finds that randomly assigned government grants to small scale entrepreneurs in Uganda increased recipients’ stated willingness to vote for and engage in political activity on behalf of the opposition by 0.1 standard deviations. As the treatment and control groups had identical incomes prior to grant assignment and the effect decreases when controlling for post-treatment income differences, it appears the income shock is partially responsible for the results. Furthermore, consistent with the program weakening clientelist ties, recipients of the program were seven percentage points less likely to state they had a politician they would go to in times of need. These results are particularly remarkable as the help was both provided by and attributed to the government, which would be expected to increase government support. However, unlike some government transfers, the program was widely regarded to have been implemented according to clear criteria without signs of corruption. This is important as programmatic policies, such as this one, may have weaker political effects than clientelist ones.
Blattman et al (2018) is also not isolated in failing to find increases in resources leading to increased incumbent support in Africa, with Briggs (2019) finding that aid projects entering an area was associated with a fall in support for the president in three countries. Even more pertinently, Orkin and Walker (2022) rule out large and significant effects on voting behaviour, turnout, or participation in political meetings at the village level in their RCT of GiveDirectly’s operations in Kenya. Orkin and Walker (2022)’s results are particularly relevant as the unconditional cash transfers were randomly assigned at the village level and only given to the poorest 40% of households, allowing for the study of within village spill-over effects in the context of an intervention that could be particularly cost-effective and scalable. In fact, the lack of major political effects in Orkin and Walker (2022) is likely attributable to within village spill-overs, as the recipients of cash transfers are less willing to accept offers for their vote, but clientelist interactions increase for those within the treatment villages not receiving transfers, likely because they are now comparatively poorer. This is suggestive of the proposed anti-clientelist mechanism being present but having the effects attenuated by politicians redirecting their efforts towards more receptive households. Although no significant effects were found for most outcomes at the village level, some positive political effects were also found with villages receiving the transfers seeing an increase in the formation of community groups, especially those focused on social insurance, and a corresponding increase in community groups’ ability to raise funds from local politicians. All in all, while these results from Orkin and Walker (2022) are not as positive for aid programmes as Bobonis et al (2022), they certainly do not provide any evidence that attenuates cost-effectiveness estimates of aid projects.
4.) Trust
Another plausible argument levied against development aid is that it could erode local confidence and trust in the native government’s ability to operate, undermining the incentives for countries to develop the capacity to sustainably provide public goods for themselves (Deaton 2015b). However, existing empirical investigations into the issue reveal little evidence of these concerns being substantiated. For example, randomised experiments find no negative effects on self-reported trust in the government or on their perceptions of its legitimacy from informing citizens in developing nations that local aid projects were funded by foreign actors and, if anything, tend towards finding positive effects (Dietrich and Winters 2015; Dietrich et al 2018; Baldwin and Winters 2020). Difference-in-differences analyses using the entry of major aid projects into African settlements as a change in the level of foreign aid provision also find similar effects on self-reported trust in the government (Knutsen and Kotsadam 2020; Blair and Roessler 2021). Therefore, negative effects of aid on government legitimacy and trust appear rare. Although the reasons why the effects tend to be null or positive are not fully established, one common explanation throughout the literature is that citizens see governments in developing countries securing aid as a key part of their role in public goods provision.
5.) Conflict
Poverty is commonly highlighted as a potential source of conflict, likely due to the negative correlation of civil wars (Collier and Hoeffler 2004) and coups (Alesina et al 1996) with a country’s wealth. As aid aims to reduce poverty, if this proposed mechanism is true, it may be able to prevent conflicts. Proposed mechanisms through which increased wealth could reduce conflict are through increasing the opportunity cost of engaging in violence, increasing the state’s capacity to battle crime, and improved wellbeing reducing the risks of violence. However, the observed correlation could instead be caused by reverse causality, or omitted variables influencing both violence and growth, such as a country’s institutions. Furthermore, there are potential mechanisms through which increased wealth could increase conflicts, such as increasing the returns to control of the state apparatus due to the state’s ability to appropriate wealth.
Evidence relevant to whether aid reduces conflict comes from two sources: research on the relationship between income and conflict, as well as direct research on how aid affects conflict. The income literature typically focuses on variation caused by factors exogenous to actors within the country, which are typically weather shocks and changes to commodity prices for countries that are a small part of the international market in that commodity and are thus price takers. Of these, which are most analogous to aid will differ depending on the type of aid. For example, weather shocks affecting agriculture alongside shocks to the cost of essentials, such as staple foods, may most directly affect living standards for typical citizens in impoverished nations, making them closer to a program like cash transfers. Meanwhile, aid projects that can be partially captured by governments may be more analogous to shocks to changes in the value of natural resources, which often compose a substantial share of state revenues.
Although weather shocks to agricultural income may be the most relevant to many aid projects, they often also struggle with identifying causality. As weather affects many other outcomes which could also plausibly affect conflict, such as protests, it is difficult to be sure whether the effects flow through income or some other factor (Mellon 2020). Consequently, it is incumbent upon the researchers to demonstrate that income was the mechanism through which weather affected conflict. Nevertheless, some work has overcome these issues, with Mary (2022a) showing that low rainfall increases the rate of religious conflict in India in districts where irrigation and thus agricultural income is dependent on rainfall but not in districts where dams enable irrigation. Similarly, Gatti et al (2021) finds that the relationship between rainfall and conflict at the district level is attenuated by irrigation capacity in Indonesia, which also weakens the relationship between income and rainfall. Furthermore, almost the entirety of any relationships found between rainfall shocks and conflict were driven by the effects found in the most agricultural areas of the country, providing additional evidence the relationship is driven by income shocks. Finally, there is more evidence of irrigation affecting conflict from Turkey, with Ballinger (2022) estimating that an area receiving government-funded irrigation systems in Kurdistan halved the likelihood of a clash between separatists and the military occurring there between 2016 and 2019. However, these results might be driven by increased sympathy with the Turkish government, given their success in improving living conditions, rather than than income directly. Additionally, the identification of these results may be less robust as it relies on making the untestable assumption that the instrumental variable, which is derived from the area’s elevation and slope, is uncorrelated with conflict through channels other than irrigation.
While the number of strong and relevant studies using weather shocks is not that large, difference-in-difference studies on the effects of exogenous commodity price movements on conflict are far more voluminous and can find opposite results in the same area depending on the commodity in question (Dube and Vargas 2013). Furthermore, each commodity is different as some may be easier to loot or easier for the state to capture than others, while some commodities may be more labour intensive and thus a shock will increase the opportunity cost of conflict for ordinary workers. To systematically investigate these issues, Blair et al (2021) conduct a meta-analysis of these quasi-experimental studies, with them finding a null effect overall but significant heterogeneity by commodity type. Increases in the prices of lootable commodities, especially oil, are associated with an increase in conflicts but positive agricultural price shocks tend to reduce conflict, likely as they are non-lootable and produced in a labour-intensive manner. Therefore, any concerns over aid are likely to be whether it is lootable – which most EA-affiliated aid is not.
Besides work on income shocks, there also exists some work on the causal impact of specific aid interventions, as well as similar interventions implemented by governments, on conflict. Zürcher (2017)’s review of this literature finds mixed results and includes two types of projects that have meaningful similarities to projects that Effective Altruists currently recommend: conditional cash transfers and humanitarian assistance such as food and medical supplies. The effects of conditional cash transfers may shed some light on the likely effects of unconditional cash transfers on conflict, while many interventions receiving GiveWell funds, such as malaria nets and ready-to-use therapeutic food, fall under this broad category.
Conditional cash transfers have some obvious similarities to the unconditional transfers administered by GiveDirectly, as the core attribute of both programs is that impoverished individuals receive financial pay-outs that they can use as they see fit. Two studies have examined conditional cash transfers’ effects on conflict: Crost et al (2016) and Weintraub (2016). Crost et al (2016) investigates the effects of a randomised conditional cash transfer program administered in the Philippines by the World Bank, finding that the transfers reduced insurgent influence – which may be beneficial for future economic growth – and violence in the treated villages. Meanwhile, Weintraub (2016) found that conflict incidence increased in areas where a similar government-run program, funded by the World Bank, was implemented in Colombia. The mechanism presented is that the program increased trust and thus information sharing between citizens and government, which enabled the military to plan more strikes against the FARC militia, leading to retaliatory strikes. Similar mechanisms have also been proposed for why other types of government-administered employment programs increased insurgent violence in India over the short run (Khanna and Zimmerman 2017), and why a government-run community-driven development program in the Philippines did the same (Crost et al 2014). Nevertheless, it is not clear that this is a negative trade-off, as weakening these non-state militias might be good in itself. Indeed, Dasgupta et al (2017) shows the same Indian employment program reduced insurgent violence in the long run, while Singhal and Nilakantan (2016) show that it increased growth in Andhra Pradesh relative to observationally equivalent states, consistent with positive economic effects. Furthermore, as the proposed mechanism works through enhancing government trust, it is unclear whether these increases in conflict would transfer to NGO-run programmes.
Zürcher (2017) also includes five studies on the impact of humanitarian aid, where they posit that the resources provided by aid could be lootable and thus strengthen rebel groups, but all five suffer from methodological issues that I discuss in the Appendix.
Finally, there are also some potentially robust cross-country studies investigating the relationship between aid flows and conflict with conflicting results - de Ree and Nillesen (2009) and Bluhm et al (2021). de Ree and Nillesen attempt to use changes in donor country GDP, conditional upon the country’s own GDP, as a source of variation in aid flows and finds no effects on conflict onset, but a pacifying one upon ongoing conflict. Meanwhile, Bluhm et al (2021) takes a difference-in-differences approach and instruments aid with the fractionalisation of donor governments – how spread out political power is between parties – to address reverse causality concerns. The assumption underlying the instrument’s validity is that increases in the fractionalisation of donor governments increases the chance of coalitions, which will usually have higher aid budgets due to coalitions being less likely to engage in spending cuts and government fractionalisation, alongside its determinants, have no direct relationship with conflict incidence. If we believe these assumptions, then they find that aid increases the chance of existing conflicts escalating but otherwise has no effect on conflict. Although these findings conflict, they do both suggest that conflict will likely be more sensitive to aid flows in countries with ongoing conflicts.
Summing up the evidence on conflict, we find that there is little strong evidence suggesting that aid programs that protect against misappropriation could spark conflict outside existing conflict zones. Meanwhile, within conflict zones, the direction of the effects are unclear and may vary from intervention-to-intervention. Additionally, there are some instances where increases in immediate-term conflict may be accompanied by longer-term benefits through a weakening of insurgent groups.
6. ) Relevance to Cost-Effectiveness Analysis – A Back of the Envelope Calculation
Institutions
To assess how heavily any political effects should weigh into cost-effectiveness analyses, we need information on how these are likely to affect welfare in the affected countries. A reasonable proxy for the welfare effects of good institutions could be their effects on income growth. The role of democratic institutions in growth seem a good benchmark for these effects as many of the theoretical mechanisms for political spill-overs, such as increased political freedoms due to reduced clientelism or increased stability for nondemocratic regimes due to positive income shocks, act through this channel. We use these calculations to estimate the discounted present value of democratisations on economic welfare and compare these to the benefits of an aid program - GiveDirectly’s unconditional cash transfers.
A reasonable estimate for the effects of democracy on growth can be gleaned from Acemoglu et al (2019)’s finding that a country transitioning to democracy is associated with an increase in long run GDP of around 15-25% depending upon the estimation strategy. These results are robust to: multiple attempts to address non-parallel trends; relevant control variables, including trade and regional economic shocks; and concerns that countries more likely to transition to democracy would see higher growth anyway using an inverse probability weighted regression adjustment. Even so, it is probably reasonable to interpret these results as an upper bound given that there could be some reverse causality or an important omitted variable.
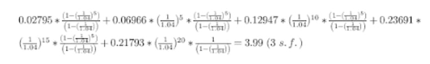
Conducting a back of the envelope calculation using a discount rate of 4%, where utility is taken as a logarithm of consumption, and the estimated effects of democratisation on economic growth from Acemoglu et al (2019), the predicted effect of a permanent democratisation on growth is equivalent to 3.99 years of doubled income. If we assume this has the same effects on consumption and that growth is uniform across the population, the effect size of aid on democratisation required to wipe out (or double) the 2.9 years of doubled consumption that GiveWell estimates a GiveDirectly transfer provides a household would need to be implausibly large. Indeed, a single household receiving a transfer in a country containing N households would have to reduce the probability of that country becoming a democracy by approximately 1/2N to wipe out the transfer’s direct benefits. This is inconceivably large given that few effects on local politics are picked up when half the village receives transfers (Orkin and Walker 2022) and because the beneficiaries of most aid interventions on national or regional politics may have less influence than the average member of their society, as protests are typically composed of more educated individuals (Campante and Chor 2014). Thus, it seems unlikely that GiveDirectly’s effectiveness is significantly affected by impacts on political institutions, while the same also likely holds for early life interventions focused on mortality as the link between those and income fluctuations is less direct.
7.) Conclusion and Implications
Given that the expected effects of the typical aid project on politics and conflict appears unclear, alongside plausible effect sizes being unlikely to affect cause prioritisation, it appears that political considerations will rarely be a strong reason to shift Effective Altruist funding between aid projects or from aid to something else at this time. However, there are still some factors which might make certain outcomes more likely and could influence effective program design, as well as shift some prioritisation decisions at the margin. These factors include that aid clearly independent from government actors might be less likely to shift political outcomes (Guiteras and Mobarak 2015; Orkin and Walker 2022) and that lootability might increase the risk of conflict (Blair et al 2021).
Among these relevant factors, the aid interventions frequently recommended by Effective Altruists appear to score well on most of them, as it seems unlikely that health interventions such as vaccines and vitamin A supplements will be misappropriated by bad actors. Meanwhile, GiveDirectly takes extensive measures to prevent its funds being taken by corrupt actors. In GiveDirectly’s case, we should also have a strong prior of no negative major effects due to the null results from the Orkin and Walker (2023) RCT in Kenya, although there are two important factors as to why this may not always apply in other contexts. The first reason is that in Rwanda they can only donate to those defined as among the poorest by their government-defined Ubudehe status, which may be perceived as a meaningful difference in government involvement. The second situation would be that if GiveDirectly scaled up by a couple orders of magnitude, the political effects may change either due to increased government interference or a change in recipient profiles. Meanwhile, for the child health interventions recommended by GiveWell, it is not known whether they influence political outcomes. This may be a fruitful avenue for future research.
References
Abadie, A. and Gardeazabal, J., 2003. The economic costs of conflict: A case study of the Basque Country. American Economic Review, 93(1), pp.113-132.
Acemoglu, D., Johnson, S. and Robinson, J.A., 2001. The colonial origins of comparative development: An empirical investigation. American Economic Review, 91(5), pp.1369-1401.
Acemoglu, D., Johnson, S. and Robinson, J.A., 2005. Institutions as a fundamental cause of long-run growth. Handbook of Economic Growth, 1, pp.385-472.
Acemoglu, D., Johnson, S., Robinson, J.A. and Yared, P., 2008. Income and democracy. American Economic Review, 98(3), pp.808-842.
Acemoglu, D., Naidu, S., Restrepo, P. and Robinson, J.A., 2019. Democracy does cause growth. Journal of Political Economy, 127(1), pp.47-100.
Acemoglu, D. and Robinson, J.A., 2012. Why Nations Fail. Crown, New York.
Achen, C.H. and Bartels, L.M., 2004. Blind retrospection: Electoral responses to drought, flu, and shark attacks. Mimeo.
Alesina, A., Özler, S., Roubini, N. and Swagel, P., 1996. Political instability and economic growth. Journal of Economic Growth, 1(2), pp.189-211.
Anderson, S., Francois, P. and Kotwal, A., 2015. Clientelism in Indian villages. American Economic Review, 105(6), pp.1780-1816.
Araújo, V., 2021. Do anti-poverty policies sway voters? Evidence from a meta-analysis of Conditional Cash Transfers. Research & Politics, 8(1), p.2053168021991715.
Arezki, R. and Brückner, M., 2014. Effects of international food price shocks on political institutions in low-income countries: evidence from an international food net-export price index. World Development, 61, pp.142-153.
Baldwin, K. and Winters, M.S., 2020. How do different forms of foreign aid affect government legitimacy? Evidence from an informational experiment in Uganda. Studies in Comparative International Development, 55(2), pp.160-183.
Ballinger, O., 2022. Irrigation and conflict: evidence from Kurdish separatism in Turkey. CSAE Working Paper.
Bermeo, S.B., 2016. Aid is not oil: Donor utility, heterogeneous aid, and the aid-democratization relationship. International Organization, 70(1), pp.1-32.
Blair, G., Christensen, D. and Rudkin, A., 2021. Do commodity price shocks cause armed conflict? A meta-analysis of natural experiments. American Political Science Review, 115(2), pp.709-716.
Blair, R.A. and Roessler, P., 2021. Foreign aid and state legitimacy: evidence on Chinese and US aid to Africa from surveys, survey experiments, and behavioral games. World Politics, 73(2), pp.315-357.
Blattman, C., Emeriau, M. and Fiala, N., 2018. Do anti-poverty programs sway voters? Experimental evidence from Uganda. Review of Economics and Statistics, 100(5), pp.891-905.
Blattman, C., Larreguy, H., Marx, B. and Reid, O.R., 2019. Eat widely, vote wisely? Lessons from a campaign against vote buying in Uganda. National Bureau of Economic Research Working Paper 26293.
Bluhm, R., Gassebner, M., Langlotz, S. and Schaudt, P., 2021. Fueling conflict? (De)escalation and bilateral aid. Journal of Applied Econometrics, 36(2), pp.244-261.
Bobonis, G.J., Gertler, P.J., Gonzalez-Navarro, M. and Nichter, S., 2022. Vulnerability and clientelism. American Economic Review, 112(11), pp.3627-59.
Briggs, R.C., 2012. Electrifying the base? Aid and incumbent advantage in Ghana. The Journal of Modern African Studies, 50(4), pp.603-624.
Briggs, R.C., 2015. The influence of aid changes on African election outcomes. International Interactions, 41(2), pp.201-225.
Briggs, R.C., 2019. Receiving foreign aid can reduce support for incumbent presidents. Political Research Quarterly, 72(3), pp.610-622.
Briggs, R.C., 2023. There is little (good) evidence that aid systematically harms political institutions. Effective Altruism Forum. Available at: https://forum.effectivealtruism.org/posts/ohfknZmWG5uH8Jgqh/there-is-little-good-evidence-that-aid-systematically-harms
Broderstad, T.S., 2018. A meta-analysis of income and democracy. Democratization, 25(2), pp.293-311.
Brückner, M. and Ciccone, A., 2011. Rain and the democratic window of opportunity. Econometrica, 79(3), pp.923-947.
Burke, P.J. and Leigh, A., 2010. Do output contractions trigger democratic change?. American Economic Journal: Macroeconomics, 2(4), pp.124-57.
Campante, F.R. and Chor, D., 2014. “The people want the fall of the regime”: Schooling, political protest, and the economy. Journal of Comparative Economics, 42(3), pp.495-517.
Christian, P. and Barrett, C.B., 2017. Revisiting the effect of food aid on conflict: A methodological caution. World Bank Policy Research Working Paper No. 8171.
Clemens, M.A., Radelet, S., Bhavnani, R.R. and Bazzi, S., 2012. Counting chickens when they hatch: Timing and the effects of aid on growth. The Economic Journal, 122(561), pp.590-617.
Collier, P. and Hoeffler, A., 2004. Greed and grievance in civil war. Oxford Economic Papers, 56(4), pp.563-595.
Crost, B., Felter, J.H. and Johnston, P.B., 2016. Conditional cash transfers, civil conflict and insurgent influence: Experimental evidence from the Philippines. Journal of Development Economics, 118, pp.171-182.
Cruz, C., Labonne, J. and Querubin, P., 2017. Politician family networks and electoral outcomes: Evidence from the Philippines. American Economic Review, 107(10), pp.3006-37.
Cruz, C. and Schneider, C.J., 2017. Foreign aid and undeserved credit claiming. American Journal of Political Science, 61(2), pp.396-408.
Dasgupta, A., Gawande, K. and Kapur, D., 2017. (When) do antipoverty programs reduce violence? India's rural employment guarantee and Maoist conflict. International Organization, 71(3), pp.605-632.
Deaton, A., 2015a. Response to effective altruism. Boston Review. Available at: https://www.bostonreview.net/forum_response/response-angus-deaton/ (Accessed: January 7, 2023).
Deaton, A., 2015b. Julia Galef and Angus Deaton: podcast discussion of RCT issues (excerpts) Available at: https://forum.effectivealtruism.org/posts/QjpFHXidB9YK9EvXc/julia-galef-and-angus-deaton-podcast-discussion-of-rct
Deaton, A., 2015c. Weak states, poor countries. Project Syndicate. Available at: https://www.project-syndicate.org/commentary/economic-development-requires-effective-governments-by-angus-deaton (Accessed: January 7, 2023).
De Ree, J. and Nillesen, E., 2009. Aiding violence or peace? The impact of foreign aid on the risk of civil conflict in sub-Saharan Africa. Journal of Development Economics, 88(2), pp.301-313.
Diaz, R., 2008. City growth and community-owned land in Mexico City. MIT thesis.
Dietrich, S., Mahmud, M. and Winters, M.S., 2018. Foreign aid, foreign policy, and domestic government legitimacy: Experimental evidence from Bangladesh. The Journal of Politics, 80(1), pp.133-148.
Dietrich, S. and Winters, M.S., 2015. Foreign aid and government legitimacy. Journal of Experimental Political Science, 2(2), pp.164-171.
Djankov, S. and Reynal‐Querol, M., 2010. Poverty and civil war: Revisiting the evidence. Review of Economics and Statistics, 92(4), pp.1035-1041.
Dreher, A., Fuchs, A., Parks, B., Strange, A. and Tierney, M.J., 2021. Aid, China, and growth: Evidence from a new global development finance dataset. American Economic Journal: Economic Policy, 13(2), pp.135-74.
Dreher, A. and Langlotz, S., 2020. Aid and growth: New evidence using an excludable instrument. Canadian Journal of Economics, 53(3), pp.1162-1198.
Dube, O. and Vargas, J.F., 2013. Commodity price shocks and civil conflict: Evidence from Colombia. Review of Economic Studies, 80(4), pp.1384-1421.
Fajury, K., 2022. Clientelism and Poverty: Vote Buying in Columbia. Working Paper.
Frey, A., 2019. Cash transfers, clientelism, and political enfranchisement: Evidence from Brazil. Journal of Public Economics, 176, pp.1-17.
Gatti, N., Baylis, K. and Crost, B., 2021. Can irrigation infrastructure mitigate the effect of rainfall shocks on conflict? Evidence from Indonesia. American Journal of Agricultural Economics, 103(1), pp.211-231.
GiveDirectly - November 2020 version, 2020. GiveWell. Available at: https://www.givewell.org/charities/give-directly/November-2020-version (Accessed: 13 October 2023).
Guiteras, R.P. and Mobarak, A.M., 2015. Does development aid undermine political accountability? Leader and constituent responses to a large-scale intervention. National Bureau of Economic Research Working Paper 21434.
Heid, B., Langer, J. and Larch, M., 2012. Income and democracy: Evidence from system GMM estimates. Economics Letters, 116(2), pp.166-169.
Hicken, A., Leider, S., Ravanilla, N. and Yang, D., 2015. Measuring vote-selling: Field evidence from the Philippines. American Economic Review, 105(5), pp.352-56.
Imai, K., King, G. and Velasco Rivera, C., 2020. Do nonpartisan programmatic policies have partisan electoral effects? Evidence from two large-scale experiments. The Journal of Politics, 82(2), pp.714-730.
Khanna, G. and Zimmerman, L., 2017. Guns and butter? Fighting violence with the promise of development. Journal of Development Economics, 124, pp.120-141.
Knutsen, T. and Kotsadam, A., 2020. The political economy of aid allocation: Aid and incumbency at the local level in Sub Saharan Africa. World Development, 127, p.104729.
Larreguy, H., Marshall, J. and Trucco, L., 2015. Breaking clientelism or rewarding incumbents? Evidence from an urban titling program in Mexico. Harvard University Working Paper.
Leigh, A., 2009. Does the world economy swing national elections?. Oxford Bulletin of Economics and Statistics, 71(2), pp.163-181.
MacAskill, W., 2015. Doing Good Better. Avery, New York.
Manacorda, M., Miguel, E. and Vigorito, A., 2011. Government transfers and political support. American Economic Journal: Applied Economics, 3(3), pp.1-28.
Menard, A.R. and Weill, L., 2016. Understanding the link between aid and corruption: A causality analysis. Economic Systems, 40(2), pp.260-272.
Narang, N., 2014. Humanitarian assistance and the duration of peace after civil war. The Journal of Politics, 76(2), pp.446-460.
Narang, N., 2015. Assisting uncertainty: how humanitarian aid can inadvertently prolong civil war. International Studies Quarterly, 59(1), pp.184-195.
Mary, S., 2022a. Dams mitigate the effect of rainfall shocks on Hindus-Muslims riots. World Development, 150, p.105731.
Mary, S., 2022b. A replication note on humanitarian aid and violence. Empirical Economics, 62(3), pp.1465-1494.
Mellon, J., 2020. Rain, Rain, Go Away: 192 Potential Exclusion-Restriction Violations for Studies Using Weather as an Instrumental Variable. Working Paper.
Nunn, N. and Qian, N., 2014. US food aid and civil conflict. American Economic Review, 104(6), pp.1630-66.
Orkin, K. and Walker M., 2022. Cash Transfers and Community Participation in Public Affairs: A Village-Level Randomized Controlled Trial in Kenya. Working Paper.
Pop-Eleches, C. and Pop-Eleches, G., 2012. Targeted government spending and political preferences. Quarterly Journal of Political Science, 7(3), pp.285-320.
Rodrik, D., 2012. Why we learn nothing from regressing economic growth on policies. Seoul Journal of Economics, 25(2), pp.137-151.
Roodman, D., 2015. A Replication of “Counting chickens when they hatch” (Economic Journal 2012). Public Finance Review, 43(2), pp.256-281.
Sarsons, H., 2015. Rainfall and conflict: A cautionary tale. Journal of Development Economics, 115, pp.62-72.
Schechter, L. and Vasudevan, S., 2023. Persuading voters to punish corrupt vote-buying candidates: Experimental evidence from a large-scale radio campaign in India. Journal of Development Economics, 160, p.102976.
Singhal, S. and Nilakantan, R., 2016. The economic effects of a counterinsurgency policy in India: A synthetic control analysis. European Journal of Political Economy, 45, pp.1-17.
Vicente, P.C., 2014. Is vote buying effective? Evidence from a field experiment in West Africa. The Economic Journal, 124(574), pp.F356-F387.
Weintraub, M., 2016. Do all good things go together? Development assistance and insurgent violence in civil war. The Journal of Politics, 78(4), pp.989-1002.
Wood, R.M. and Molfino, E., 2016. Aiding victims, abetting violence: The influence of humanitarian aid on violence patterns during civil conflict. Journal of Global Security Studies, 1(3), pp.186-203.
Wood, R.M. and Sullivan, C., 2015. Doing harm by doing good? The negative externalities of humanitarian aid provision during civil conflict. The Journal of Politics, 77(3), pp.736-748.
Wolfers, J., 2002. Are voters rational? Evidence from gubernatorial elections. Mimeo.
Zürcher, C., 2017. What do we (not) know about development aid and violence? A systematic review. World Development, 98, pp.506-522.
Appendix
Equation 1
This equation is DPV of economic growth from democracy over the first 5 years+DPV of economic growth from democracy over years 6-10+DPV of economic growth from democracy over years 11-15+DPV of economic growth from democracy over years 16-20+DPV of economic growth from democracy over all subsequent years.
DPV means discounted present value and the discount rate is 4%, which is what GiveWell uses.
Notes on Humanitarian Aid and Conflict Studies
All five studies covered by Zürcher (2017) find that humanitarian aid increases conflict, but their robustness is dubious. For example, Nunn and Qian (2014)’s finding that US government wheat aid increased conflict was estimated in a difference-in-differences setup with wheat aid instrumented by US wheat production, which is plausibly exogenous to conflicts, interacted with a time constant propensity to receive the aid. However, this is confounded by the fact that US wheat production is a potentially non-stationary processesleading (Barrett and Christian 2017), creating a spurious regression problem. Indeed, Barrett and Christian (2017) simulations show that Nunn and Qian (2014)’s methods would often produce such large and statistically significant results under realistic levels of autocorrelation. Besides Nunn and Qian (2014), the three other humanitarian aid studies included in the review do not survive the replication attempts of Mary (2022b), while the fourth (Narang 2014) is not replicated as the data is not publicly available. Additionally, Narang (2014) may have issues as the study design is very similar to the non-robust Narang (2015). Narang (2015) uses a Cox proportional hazards model to estimate the effects of aid on conflict length, finding aid increases conflict length, but the proportional hazards assumption required for the estimates to be consistent is not tested and does not hold. Using an estimator robust to this problem produces null results (Mary 2022b). Additionally, it is not clear that the unconfoundedness assumption – that there are no factors not fully addressed by their controls that influence both conflict and aid - needed for consistent estimates will hold here. Meanwhile, Wood and Sullivan (2015), as well as Wood and Molifino (2016), attempt to take a difference-in-differences approach on sub-Saharan African data to identify the effect of aid on conflict but for some reason do not include any time fixed effects. Therefore, any omitted time-varying factor that affects both conflict and humanitarian aid in all areas could bias their results. Additionally, Mary (2022b) shows that when time varying shocks are allowed to vary flexibly between the treatment and control groups, the results of these two studies also become null. This strongly suggests their results were biased due to the common shocks assumption failing to hold.
SummaryBot @ 2025-03-03T15:06 (+1)
Executive summary: The existing evidence does not support the claim that foreign aid has a strong and uniform effect on political outcomes or conflict, and any realistic negative effects of well-run aid programs are unlikely to outweigh their direct benefits. Effective Altruism (EA)-recommended aid programs, particularly those that minimize government involvement and avoid misappropriation, are unlikely to have significant adverse political consequences.
Key points:
- Concerns About Political Effects of Aid – Critics argue that aid could harm political institutions by propping up bad governments, undermining trust in governance, or fueling corruption, but these effects are not consistently supported by empirical research.
- Aid and Government Legitimacy – Evidence suggests that aid does not generally erode trust in governments, and in some cases, it may even strengthen it by demonstrating government capacity to secure resources.
- Clientelism and Political Participation – Aid can reduce clientelism by increasing beneficiaries’ economic security, freeing them from dependence on political patrons, and enabling more independent political participation.
- Aid and Conflict – The effect of aid on conflict is mixed: while it may increase conflict in some settings by making resources more attractive to armed groups, it can also reduce violence by improving economic conditions and increasing the opportunity cost of conflict.
- Institutional Impact on Cost-Effectiveness – The potential political effects of aid are unlikely to be large enough to significantly affect cost-effectiveness rankings, as even major shifts in democratic institutions have relatively small long-term economic effects compared to direct aid benefits.
- Implications for EA Funding Prioritization – EA-recommended aid programs are generally well-designed to minimize risks of negative political spillovers, and while more research is needed on certain interventions, political effects should not be a primary factor in aid allocation decisions.
This comment was auto-generated by the EA Forum Team. Feel free to point out issues with this summary by replying to the comment, and contact us if you have feedback.